撰文:李画
致谢:东泽、even
参考:Maksym Petkus,Why and How zk-SNARK Works: Definitive Explanation我们已经越来越频繁地见到zk-SNARK,我们还会更多地遇到它。大家都知道它是一种实现零知识证明的方法,也知道它是扩容和隐私方向的利器,但究竟什么是零知识证明,zk-SNARK 是如何实现零知识证明的?这便是本文试着去回答的问题。阅读这篇文章需要保持较高的专注度,以及适当思考;但本文尽力做到没有含混和晦涩之处,所以如果你保持专注,看完就能理解零知识证明究竟是如何通过zk-SNARK 做到的,而不是停留在只知道概念的阶段。
保险机构需要知道用户的一个体检数据是否达标,用户只想让保险机构知道数据是否达标,但不透露具体的数据给他们。怎么去做?假设这个体检的隐私数据是x,x 的值在0~7 之间(包含0和7)为达标,否则为不达标。那要做首先是把这个需求转换为一个可计算的问题,即有一个程序,其输入为x,当x 在0~7 之间时,输出「真」,当x 不在该区间时,输出「假」。该程序的计算过程可以被表达为如下一组方程的验证过程。当输入x 后,如果这4 个方程都能被满足,也就是方程左边的计算结果都为0,就能证明x 在0~7 之间,那么就输出「真」,否则输出「假」。这4 个方程为:Vitalik的那组方程为:x * x - sym_1 = 0sym_1 * x – y = 0(y + x) * 1 - sym_2 = 0(sym_2 + 5) * 1 - ~out = 0
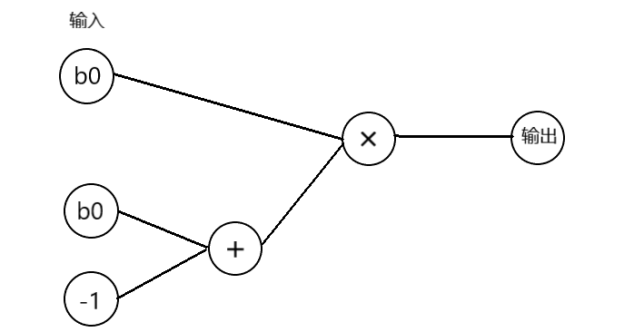
注:b0、b1、b2的值由x确定,它们也是输入;前3 个方程约束b0、b1、b2的值为0或1;最后1个方程验证x的取值在0~7之间。可以把这样的一组方程表达为一个数学运算电路。以b0 * (b0-1) 为例,它这一部分的电路如下图所示。

而整个程序的计算过程可以抽象表达为下图:

如此一来,零知识证明的问题就被转化为「输入+用作证明的数学运算电路+输出」;如果输出为真,就可以相信输入为真。在本文的例子中,如果输出为0,就可以相信用户的体检数据达标。
2.把数学运算电路转换为多项式
在把零知识证明的需求转换为数学运算电路后,我们能够把验证者和证明者这两个角色分开。而当验证者不是证明者时,就创造了一个可以隐藏输入(原始数据)的机会。
随之而来问题只有一个:验证者凭什么相信这个「输出」是「输入」通过「用作证明的数学运算电路」计算出来的?最简单的办法就是验证者看着证明者输入和计算,但这样就无法隐藏输入了。
所以我们要在数学运算电路的基础上接着做转换,把输入、用作证明的数学运算电路、输出这三者绑定到一起,也就是说,能够通过某种方式验证「输出」是否为「输入」通过「用作证明的数学运算电路」计算出来的。这样一来,在输出为真的前提下,只要该验证通过,证明者就可以相信输入为真。为了完成这种绑定,需要把数学运算电路转换为多项式。(以下为数学转换过程,若无兴趣可跳至下一张图片下方的段落)首先要把数学运算电路转换为一阶约束系统(RICS)。Vitalik 在《Quadratic Arithmetic Programs: from Zero to Hero》一文中详细介绍了这个转换过程,本文为省略细节描述,将直接引用Vitalik 使用的例子。这是一个数学的过程,我们只需要知道这种转换是等价的即可,若希望知晓细节,可阅读Vitalik 的文章。Vitalik的那组方程为:x * x - sym_1 = 0sym_1 * x – y = 0(y + x) * 1 - sym_2 = 0(sym_2 + 5) * 1 - ~out = 0
以其中的第一个方程x * x - sym_1 = 0 为例,它被转换为R1CS 后的形式如下所示:a = [0, 1, 0, 0, 0, 0]b = [0, 1, 0, 0, 0, 0]c = [0, 0, 0, 1, 0, 0]s = [~one,x,~out,sym_1,y,sym_2]
R1CS 是由上方3 个向量(a, b, c)组成的序列,解向量为s,且满足s. a * s.b - s.c = 0,这也被称作一个约束。可以试着计算一下,你会发现s.a * s.b - s.c = x * x - sym_1,它们是等价的。Vitalik 的例子包含4 个拍平后的方程,每个方程对应一个RICS 约束,因此一共有4 个约束。接下来是把R1CS 转换为多项式。依然不需要深入理解如何转换,只需要知道转换是等价的。转换过程如下:一共有4 个RICS 约束,每个约束中都包含一个向量a,因此一共有4 个向量a,它们分别是:a = [0, 1, 0, 0, 0, 0]a = [0, 0, 0, 1, 0, 0]a = [0, 1, 0, 0, 1, 0]a = [5, 0, 0, 0, 0, 1]
通过拉格朗日插值法,可以把这4 个向量转换为6 个多项式(因为每个向量包含6个值),它们分别是:
–5+ 9.166* x- 5* x^2+0.833* x^38- 11.333 * x + 5 * x^2-0.666 * x^30 + 0 * x + 0 * x^2 + 0 * x^3–6 + 9.5 * x - 4 * x^2 + 0.5 * x^34 - 7 * x + 3.5 * x^2 - 0.5 * x^3–1+ 1.833 * x- 1 * x^2+ 0.166 * x^3
可以试着把x= 1代入这6 个多项式计算,将得到[0、1、0、0、0、0] 这6 个值,你会发现它们正是第一个约束下的向量a;把x 等于2、3、4分别带入这6 个多项式,将得到其他3 个约束下的向量a。向量a 对应6 个多项式,向量b 和向量c 也是如此,因此一共会有18 个多项式。当x=1时,这18 个多项式的18 个解正是第一个约束;当x 等于2、3、4时,分别得到第2、3、4 个约束。多项式与RICS 是等价的。
图中最左边一行数字[1, 3, 35, 9, 27, 30] 为Vitalik 例子中的解向量s。A1(x)为a 的第1 个多项式在x 处的取值,比如A1(1)=0;A1(x)~A6(x) 构成第x 个约束的向量a,比如x=1时,a=[0、1、0、0、0、0];其他同理。我们似乎是在通过一个繁琐的步骤,把本来简单的证明变成了复杂的证明,为什么?如果你仔细观察,就会发现一件神奇的事情发生了:本来验证者需要验证的是:输入通过用作证明的数学运算电路,输出为真;但现在验证者需要验证的是,当x=1、x=2、x=3、x=4时,A(x) * B(x)–C(x) = 0。A(x) * B(x)–C(x) 中包含了解向量s,它是把输入、输出、电路绑定在一起的;验证A(x) * B(x)–C(x) = 0,就是在验证输入和输出是否满足用作证明的数学运算电路。这便解决了本节开始时提出的问题:验证者凭什么相信「输出」是「输入」通过「用作证明的数学运算电路」计算出来的。如此一来,验证者就不需要关注具体的输入和计算过程,只需要验证A(x) * B(x) – C(x) = 0本身是否成立。这让我们真正有了机会去隐藏输入。到此处可以长舒一口气了,虽然还没开始进入zk-SNARK,但我们已经完成了最艰难的部分。如果转换部分没有理解清楚也没关系,你只需要知道:通过zk-SNARK 实现零知识证明,实际上是要在zk-SNARK 的帮助下,验证当x= 1、2、3、……、n时,A(x) * B(x)–C(x) = 0,其中n 是RICS 约束的个数;而不同的零知识证明问题,区别只在于它们的A(x)、B(x)、C(x)不同。对于包含n 个约束的零知识证明问题,需要进行n 次A(x) * B(x)–C(x)是否为零的验证。可不可以把n 次验证变为一次验证?可以。也就是说,验证A(x) * B(x)–C(x) = t(x) * h(x),就能够一次完成全部RICS 约束的验证;而一旦这个验证通过,就可以相信输入为真。现在终于可以把接力棒交给zk-SNARK 了,它要做的工作就是帮助验证A(x) * B(x)–C(x) = t(x) * h(x)。验证的过程是怎样的?很简单。verifier(验证者)选择一个随机数x 发起挑战,prover(证明者)证明在这个x 处,A(x) * B(x)–C(x) = t(x) * h(x)。证明者本来需要证明在x=1、x=2、…… 、x=n 时,A(x) * B(x)–C(x) = 0,这是一种推理式证明,就像我们解数学题,需要一步步地推导和计算,在这种证明过程中,要隐藏解题的知识是困难的。但现在,推理式证明变成了交互式证明:verifier 在一个随机点上提出挑战,prover 给出这个点上的解响应挑战;prover 需要有「知识」才能计算出随机点上的解,但这个解本身不会泄露「知识」。而这,就是零知识证明得以成立的前提,或者说,如果没有交互式证明这种证明方法,零知识证明这个领域便不会存在。接下来只剩下一个问题:为什么能通过验证多项式上的一个点来确定两个多项式A(x) * B(x)–C(x) 与t(x) * h(x)是否相等?这是由多项式的特性决定的,「一个多项式在任意点的计算结果都可以看做是其唯一身份的表示」。(引自Maksym)用图形说明更为直观。下图是两个多项式,蓝色曲线是f(x) = x^3– 6 * x^2+ 11 * x– 6,绿色曲线是f(x) = x^3– 6 * x^2+ 10 * x– 5,不难发现,两个多项式只有微小的不同,但它们的曲线却是迥异的。就像世界上没有两片相同的树叶,世界上也没有会在某个区域重合的两条不同曲线,它们只会在有限的点上相交。对于两个阶数为d(x的最大指数)的多项式,它们相交的点数不会超过d。在本文的应用中,有一个多项式A(x) * B(x)–C(x),一个多项式t(x) * h(x),如果它们不相等,它们只会在最多d 个点上相交,也就是在d个点上的解相同。这意味着只有当验证者选择的随机挑战点x 恰好是这d 个点中的一个时,才有可能发生误判,即在A(x) * B(x)–C(x) 与 t(x) * h(x)不相同的情况下误以为它们相同。误判的概率存在,但我们不用为此担心,比较d 个点和x 的取值范围,这件事发生的概率极低;结合后续在zk-SNARK 协议中使用的密码学方法,这件事可以被认为几乎不可能发生。那么现在,在全部的准备工作完成后,本文进入下一个阶段。对第一阶段的抽象总结就是:零知识证明的问题就是验证计算满足多个约束的问题,而多项式可以一个点验证多个约束。得益于交互式证明和多项式的特性,我们可以通过验证挑战点x 上多项式A(x) * B(x)–C(x)的解与t(x) * h(x)的解是否相等来验证A(x) * B(x)–C(x) = t(x) * h(x)是否成立,这种方式是可以隐藏A(x) * B(x)–C(x)这个多项式的系数的。多项式的系数就是零知识证明中的「知识」,最明显的,这个系数里是包含了想要隐藏的秘密输入(解向量s)的。使用zk-SNARK 完成零知识证明,就是完成verifier 给出随机点进行挑战的工作和prover 给出随机点上的解完成证明的工作,这实际上是互不信任的verifier 和prover 之间的一场攻防战,他们使用的武器是密码学。分析需要被验证的A(x) * B(x)–C(x) = t(x) * h(x):t(x)是verifier 和prover 双方都知道的一个多项式,t(x) = (x-1) * (x-2) * …… * ( x-n);
A(x) * B(x) – C(x)只有prover 知道,它的系数包含着知识;
h(x)也只有prover 知道,是用A(x) * B(x) – C(x)除以t(x)计算出来的,h(x)不能被verifier 知道,因为可以通过t(x)和h(x) 计算出A(x) * B(x) – C(x)。
为了清晰起见,先把A(x) * B(x)–C(x)写为p(x),把要证明的问题简化为证明p(x) = t(x) * h(x)。verifier 选择随机挑战点x,假设x= r;
prover 收到r 后,计算p(r)和h(r),并把这两个值给verifier;
verifier 计算t(r),然后计算t(r) * h(r),并判断t(r) * h(r) = p(r)是否成立,若成立,则验证通过。
这实际上就是zk-SNARK 的基础工作流程,但直接这样做会有一个问题:prover 是知道t(x)的,如果把r 给他,他就能够计算出t(r),那么他完全可以构造出一对假的p(x) 和h(x),使得p(r)= t(r) * h(r),结果就是他虽然不知道真正的p(x),却能骗过verifier。解决这一问题的办法就是对r 加密,使得prover 可以计算某种形式下p(r)和h(r),但却不能通过该形式下的t(r)构造假的满足验证要求的p(x) 和h(x)。观察prover 的证明过程,他需要计算p(x) 和h(x)这两个多项式,但不管哪一个,其形式均为:c0+ c1*x^1+ ……+ cn*x^n;prover 本身知道c0、c1等等全部系数。如果verifier 把x 给prover,假设x= s,prover 就能完成全部计算;但如果verifier 把加密后的s 给prover,prover 是不能完成计算的,因为他无法用加密后的s 计算出s^2、……、s^n。所以当verifier 确定随机点s 后,需要把加密后的s、s^2、……、s^n 全部给prover,这样prover 才能完成计算。在实际应用中,verifier 是把E(s)、E(s^2)、……、E(s^n)给到prover,其中E(s)是s 的加密值,E(s) = g^s (mod n),这是一种同态加密方法。同态加密有一个性质,就是先加密后计算的解与先计算后加密的解与是相同的。也就是说:c0+ c1*E(s)+ ……+ cn*E(s^n) = g^(c0+ c1*s^1+ ……+ cn*s^n);
即,p(E(s)) = E(p(s)) = g^p(s),h(E(s)) = E(h(s)) =g^h(s);
那么,prover 就能通过计算p(E(s)) 和h(E(s)),得到g^p(s) 和g^h(s)。
verifier 选择随机挑战点x,假设x= s,然后把一整套s 的加密值给prover;
prover 收到后,计算g^p(s) 和g^h(s),并把这两个值给verifier;
verifier 计算t(s),然后计算(g^h(s))^ t(s),并判断(g^h(s))^t(s) = g^p(s)是否成立,若成立,则验证通过,因为这意味着h(s) * t(s) = p(s)。
通过对随机点s 加密,可以避免prover 作弊,但prover 还有一个漏洞可钻,即他不使用verifier 给出的挑战点s 计算h(s) 和t(s),而是用其他值计算并欺骗verifier。所以verifier 还需要一个方法,该方法能够证明prover 给出的值确实是用s 计算出来的。本文将不具体展开这一部分,简单而言就是verifier 除了选择随机数s 外,还要选择一个随机数α,prover 给出的解需要维持s 和α 之间的关系,如果这个关系被破坏了,则证明他没有用s 在计算。该方法被称作指数知识假设,若想了解具体内容,可阅读Maksym 的文章。在verifier 完成了他的防守战后,轮到prover 了。虽然prover 只把多项式在挑战点x 上的解给了verifier,但如果多项式系数的取值范围较小,verifier 是有可能通过暴力破解从解计算出多项式系数,即知识的。因此,prover 需要对解加密。verifier 选择随机挑战点x,假设x= s,以及随机数α,然后把一整套s 的加密值、以及一整套α * s 的加密值给prover;
prover 收到后,计算g^p(s)、g^h(s)、g^(α*p(s));选择随机数δ 对解加密,变为(g^p(s))^δ、(g^h(s))^δ、(g^(α*p(s)))^δ;然后把这3 个加密值给verifier;
verifier 计算t(s),然后计算((g^h(s))^δ)^t(s),并判断((g^h(s))^δ)^t(s) = (g^p(s))^δ是否成立,若成立,则意味着h(s) * t(s) = p(s);
与此同时,verifier 还需要验证((g^p(s))^δ)^α = (g^(α*p(s)))^δ是否成立,若成立,则证明prover 给出的解是用s 计算出来的。
zk-SNARK 的N 是指Non-Interactive,即非交互,但不难发现在上述的证明过程中,是需要verifier 和prover 交互的,而且我们都知道,交互式证明本身是零知识证明得以成立的前提。那非交互是指什么?很简单,所谓的非交互只不过是把verifier 选择随机数的工作交给了「可信设置」来完成,也就是由一个可信任的第三方在证明开始前选择随机挑战点x。这种改变对prover 没什么影响,因为他需要的始终是一组与x 相关的加密值,而不用管这些加密值来自verifier,还是来自可信第三方。但这种改变对verifier 有影响,因为他本来知道x,可以用x 计算t(x),但现在他不知道了。所以从交互到非交互,最主要的改变就是要在可信设置中把t(x)给到verifier,以便他能完成验证工作。t(x)需要被加密,因为prover 可以利用t(x)的值做弊;但加密后的t(x)又要能被用于计算,因为verifier 需要计算h(x) * t(x)。这便是这一部分的难点所在:h(x) 和t(x)都是加密值,但之前使用的同态加密方法不支持两个加密值的乘法。zk-SNARK 使用配对操作解决这一问题,用公式表达就是e(g^a, g^b)= a^g * b^g=(a * b)^g,其中g^a 和g^b 是加密值。配对操作可以把两个加密值映射为它们的乘积。可信设置通过该方法把t(x)给到verifier。于是,证明过程变为如下3 步:可信设置:可信第三方选择随机挑战点x,假设x= s,以及随机数α,然后把一整套s 的加密值、以及一整套α * s的加密值给prover;再把t(s) 的加密值g^t(s)和α 的加密值g^α 给verifier;
prover 收到后,计算g^p(s)、g^h(s)、g^(α*p(s));选择随机数δ 对解加密,变为(g^p(s))^δ、(g^h(s))^δ、(g^(α*p(s)))^δ;然后把这3 个加密值给verifier;
verifier 计算并判断e(g^p, g) = e(g^t(s), g^h)是否成立,若成立,则意味着h(s) * t(s) = p(s);g^p、g^h、g^p′ 为prover 提供的3 个加密值的简写。
与此同时,verifier 还需要验证e(g^p′ , g) = e(g^p, g^α)是否成立,若成立,则证明prover给出的解是用s计算出来的。
到这一步,我们就基本完成了zk-SNARK 协议的构造工作,它可以在不泄露多项式系数的情况下证明多项式,即实现零知识证明。额外一提,在可信设置阶段为prover 和verifier 准备的加密值被称作CRS (common reference string),用以生成CRS 的随机数是要被销毁的,它们可用于作弊;可信设置需要可信第三方,通过什么机制选择可信第三方是一个议题。可信设置影响zk-SNARK 的通用性,因此也发展出了不需要可信设置的zk-SNARK,其意义重大但理解起来并不难:只不过是换了一种方式提供随机挑战点x。不管有多少种zk-SNARK,我们需要知道的是:零知识证明是一种交互式的证明系统,对它而言重要的、也是与安全和资源相关的一个工作就是,以什么样的方式提供随机挑战点。4.把p(x)还原为A(x) * B(x)–C(x)zk-SNARK 协议需要证明的多项式是A(x) * B(x)–C(x),如果把p(x)还原为A(x) * B(x)–C(x),相较于p(x)时的协议,主要区别在于:prover 需要分别提供A(s)、B(s)、C(s)的加密值;
verifier 需要验证A(s) * B(s) = h(s) * t(s)+ C(s);
在对prover 的计算进行约束时(比如必须用s 计算),需要有3 个不同的α 分别对应于A(s)、B(s)、C(s);当prover 对计算结果加密时,需要有3 个不同的δ分别加密A(s)、B(s)、C(s)。
在具体的zk-SNARK 协议中,还会通过一些设计来改进协议,本文不再一一论述,zk-SNARK 的探秘之旅到这里就全部结束啦。1.zk-SNARK 有不同的组合实现方法,本文主要是以Pinocchio 协议为线索;密码学所涉甚广,文章难免会有疏漏和理解不当之处,请不要尽信,深入研究需以论文为参考。2.本文在构建zk-SNARK 协议部分(第二部分)采用了Maksym 文章的框架;Maksym 的文章极有条理地介绍了zk-SNARK,但可能对于不太具备相关背景知识的读者来说仍有一定的理解难度,这也是我写这篇文章的原因所在。那么,如果你读到了这里,谢谢你;如果你在知晓零知识证明的整个实现过程后,被其中的数学之美打动,那我太开心了。1. 东泽;浅谈零知识证明:背景与起源
2.Vitalik Buterin;《Quadratic Arithmetic Programs: from Zero to Hero》,
https://medium.com/@VitalikButerin/quadratic-arithmetic-programs-from-zero-to-hero-f6d558cea649
3.Maksym Petkus;《Why and How zk-SNARK Works: Definitive Explanation》,https://arxiv.org/pdf/1906.07221.pdf;
中文版本:从零开始学习 zk-SNARK(一)——多项式的性质与证明,翻译:even@安比实验室,校对:valuka@安比实验室
4.李画;一文读懂零知识证明背后的简单逻辑