理解零知识算法PLONK(一)—电路

江小白 安比技术社区 2021-01-26 12:32

本文作者江小白,来自安比技术社区的小伙伴,本系列文章将对零知识证明算法-PLONK展开介绍。

最近研究了下零知识证明算法-PLONK。肚子里的墨水又增加了,记一下学习成果与新的体会,和大家共同学习 。

现状

近些年,各种新的零知识证明算法层出不出,各有各的特点,各有各的优势。借用V神系列文章里的一张图来简单呈现下当前的零知识证明算法现状。

Image

Fig.1 Zkp Algs 

从图中可以简单总结出以下几点:

  • 理论上安全性最高的是STARKs算法,不依赖数学难题假设,具有抗量子性;

  • Proof大小上最小的是SNARKs算法,如Groth16; PLONK算法在安全性上和Proof大小上,位于上述两者之间;

  • 其他的这里不做过多阐述,如想了解零知识证明更多信息,可参考链接。

对于SNARKs算法,绕不开的一个点就是中心化的Trust Setup,也称之为CRS(the Common Reference String)。而无论是PGHR13, Groth16,还是GM17算法,它们的CRS都是一次性的,不可更新的。即,不同的问题将对应着不同的CRS,这在某些场景下,会变得比较麻烦。这些存在的问题,变成了PLONK,SONIC这类算法的一个优势,它们算法虽然也需要中心化的可信设置,但是它的CRS具有一定的普适性。即,只要电路的大小不超过CRS的上限阈值,一些证明问题就可以共用一个CRS,这种CRS称之为SRS(universal Structured Reference String),关于SRS的定义,详细的可参考SONIC协议里的第3小节。PLONK算法继用了SONIC算法的SRS的思想,但是在证明的效率上,做了很大的提升。接下来,让我们详细的介绍下PLONK算法的具体细节,主要从下面四个小节去分享:

  • 电路的设计 -- 描述PLONK算法的电路的描述思想;

  • 置换论证或者置换校验 -- 复制约束,证明电路中门之间的一致性;

  • 多项式承诺 -- 高效的证明多项式等式的成立;

  • PLONK协议 -- PLONK协议剖析。

电路

PLONK算法电路的描述和SONIC算法一直,具体的过程可以参考李星大牛的分享,已经写的比较详细且易懂。在这个小篇幅里,我想主要分享下我自己的两点想法:

  • 无论是什么样的电路描述方式,电路的满足性问题都要归结于2点,门的约束关系和门之间的约束关系成立;

  • 在SNARKs系列的算法里,电路的描述单元都是以电路中有效的线为基本单元,具体的原理可以参考我之前分享的文章,而在PLONK,SONIC以及HALO算法里,电路的描述单元都是以门为基本单元。

这两种电路的不同描述方式带来了一定的思考。那就是,之前在研究SNARKs算法时,我们都已经相信一个事实,“多项式等式成立,就代表着每个门的约束成立”,然后推断,整个电路逻辑都是成立;在这个过程中,并没有额外的去证明门之间的一致性成立;但是在PLONK算法里,除了要证明多项式等式成立外,还要额外的用置换论证的数学方法去证明门之间的约束关系,即复制约束。为何会有这样的区别?希望有心的读者能一起在评论区探讨这个问题?我个人理解是因为电路的描述方式的不同:

  • PLONK算法里,电路描述的单元是门,它为每个门定义了自己的L,R,O,因此需要证明门之间的一致性;

  • SNARKs算法里,电路描述的单元是线,门与门之间的值用的是同一个witness,因此不用额外证明一致性。

置换论证

前面我们说过,在PLONK算法里,需要去证明门之间的约束关系成立。在做具体的原理解释之前,我们先简单的过一下PLONK协议的过程,如下图所示:

Image

Fig2. Protocol 

可描述为:

  • 根据电路生成三个多项式,分别代表这电路的左输入,右输入,输出;

  • 利用置换校验协议,去证明复制约束关系成立;

  • 步骤3和4,校验门的约束关系成立。

其中第1点已经在电路小节里阐述过了,接下来,将详细的讲解多项式置换校验的原理。先从简单的场景去讲解:

(1)单个多项式的置换校验 

其实就是证明对于某个多项式f,存在不同的两个点x,y,满足f(x) = f(y)。下面来看具体的原理:

Image

Fig3. 置换校验-1 

上图中加入了一个正例P,一个反例A,方便大家理解置换校验的原理。有几点需要解释的是:

而经过仔细剖析Z的形式,不难发现,Z(n+1) 其实就是两个函数所有值的乘积的比值(不知是否等同于V神文章里的坐标累加器?)。理论上是等于1。因此,我们需要设计这样的一个多项式Z,需满足:

deg(Z) < n 

Z(n+1) = 1 

乘法循环群刚好可以满足这个条件,如果设计一个阶为n的一个乘法循环群H,根据群的性质可以知道Z(g)=Z(g^(n+1))。因此,在设计Z时,会保证Z(g) = 1;上图中的自变量的取值也将从{1...n}变成{g...g^n}。所以在上图中验证的部分,a其实已经换成了群H里的所有元素。

根据论文中的协议,多项式Z是会发给可信第三方I 验证方V会从I处获取到多项式Z在所有a处的取值,然后依次校验。

下面具体看一下论文中的定义:

Image

从定义中可以看出:多项式f, g在[n]范围内具有相同的值的集合;下面看一下论文中具体的协议部分,结合上述解释的3点:

Image

Fig4. 置换校验协议-1

说明:图4中的f,g对应图3中的f。即f,g是同一个多项式。其实只要是相同的值的集合,也可以不用于是同一个多项式。图3是一个特例而已。

(2)跨多项式的校验 

其实就是证明对于某个多项式f,g,存在两个点x,y,满足f(x) = g(y)。与(1)存在两处不同:

  • 多个多项式;

  • 不强制x,y的关系,即也可以等,也可以不等;

有了(1)小节的基础,这次我们先看一下相关的定义:

Image

从定义可以看到,这次是两个多项式集合见的置换校验算法。从标注的部分可以看出:

  • 两个多项式集合仍然具有相同的值的结合;

  • 为了区分集合里的多项式,自变量的索引得区分开来;

  • 因此,可以想象的到,如果存在两个多项式f,g,想要证明f(x) = g(y),那么根据以上描述可以判断{f1,f2} = {f,g} = {g1,g2}。也保证了上述第1点的成立。

下面我们看一下具体的原理:

Image

Fig5. 置换校验-2 

和(1)小节相比,证明方P增加了些工作量,验证方V工作量不变。结合上述描述,也能很容易的理解其数学原理。

说明:至此,其实我们已经慢慢的接触到PLONK算法的核心了,前面我们讲到,电路的满足性问题除了门的约束关系还有门之间的约束关系。

比如一个输入x,它既是一个乘法门的左输入,又是另外一个乘法门的右输入,这就需要去证明L(m)=R(n),这就是跨多项式的置换校验。

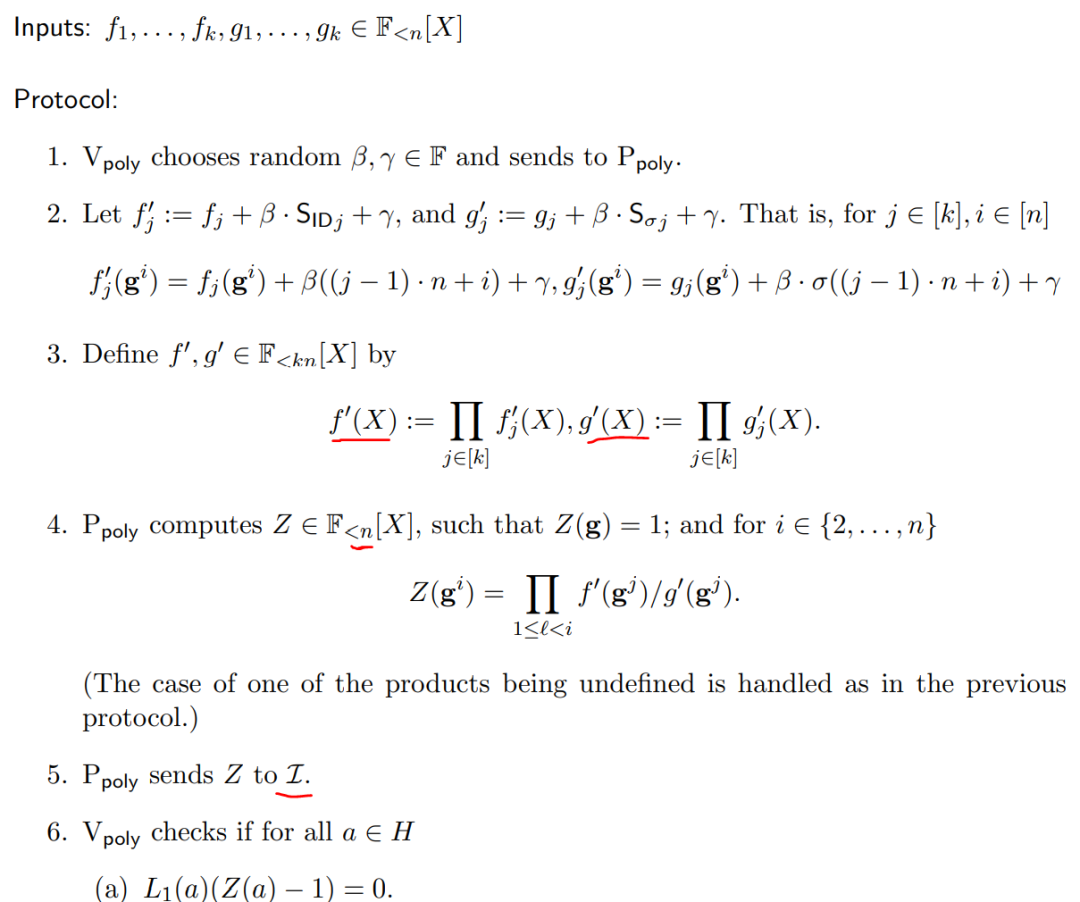
下面再给出论文里的协议内容:

Image

Fig6. 置换校验协议-2

至此,本篇文章已经描述了,在PLONK算法里,电路的设计以及复制约束的成立验证两大部分,接下来,将会另起一片文章,去分享 门约束的成立和整个协议的具体步骤。

都是作者小白的个人理解,还希望各位读者多多指教,谢谢。

参考资料

  • V神系列分享https://vitalik.ca/general/2019/09/22/plonk.html
  • 李星大牛的分享https://zhuanlan.zhihu.com/p/343211926
  • https://blog.csdn.net/weixin_43179764/article/details/102807826


封面图来自unsplash,作者Jan Kopřiva

往期回顾

格密码学之iO入门(一):什么是iO(Indistinguishability Obfuscation)

基于多线性配对的iO构造:多线性拼图(Multilinear Jigsaw Puzzle)

格密码学之iO入门(三):从MBP开始构建多线性拼图

格(Lattice)学习笔记之一:历史与基本概念

格(Lattice)学习笔记之二:计算问题

格(Lattice)学习笔记之三:对偶格

格(Lattice)学习笔记之四:SIS与LWE 问题

格(Lattice)学习笔记之五:基于SIS的OWF

格(Lattice)学习笔记之六:SIS的困难度论证

格(Lattice)学习笔记之七:SIS的效率与RingSIS

格(Lattice)学习笔记之八:SIS OWF的应用

格(Lattice)学习笔记之九:Ring-SIS与Ideal Lattice

探索零知识证明系列(一):初识「零知识」与「证明」

探索零知识证明系列(二):从「模拟」理解零知识证明

探索零知识证明系列(三):读心术:从零知识证明中提取「知识」

探索零知识证明系列(四):亚瑟王的「随机」挑战:从交互到非交互式零知识证明

探索零知识证明系列(五):云中「秘密」:构建非交互式零知识证明

zkPoD:区块链,零知识证明与形式化验证,实现无中介、零信任的公平交易

PoD-Tiny——实现零信任交易的最简协议

如果量子计算时代到来,我们的比特币安全吗?


零知识证明学习资源汇总

从零开始学习 zk-SNARK(一)——多项式的性质与证明

从零开始学习 zk-SNARK(二)——多项式的非交互式零知识证明

从零开始学习 zk-SNARK(三)——从程序到多项式的构造

从零开始学习 zk-SNARK(四)——多项式的约束

从零开始学习 zk-SNARK(五)—— Pinocchio 协议

零知识证明 Learn by Coding:libsnark 入门篇

链上富人寻「隐私」记(一:Mixer 篇)

理解零知识证明算法Bulletproofs(一):Range Proof

理解零知识证明算法Bulletproofs(二):Improved Range Proof

理解零知识证明算法Bulletproofs(三):Range Proof 实现分析

理解零知识证明算法Bulletproofs(四):Arithmetic Circuits

以太坊颠覆了以太坊:引入密码学实现2.0性能突破


Image

长按二维码添加微信进群技术讨论

邮箱 : info@secbit.io


收录于合集 #PLONK
 2
下一篇理解零知识算法PLONK(二)——协议

Scan to Follow