理解零知识证明算法Bulletproofs(二):Improved Range Proof

江小白 安比技术社区 2019-12-30 13:00


本文作者江小白,来自安比技术社区的小伙伴,本系列文章将对 Bulletproof 算法在 Range Proof 和 general arithmetic circuits 上的应用展开介绍。

前言

在本系列的第一篇文章中,我们介绍了Bulletproofs 在 Range proof 上的应用,当 prover 想要证明 v 值在范围[0, 2n-1]内时,他需要发送 2n+7 个元素。然而,这种O(n)级的CC并不是我们想要的,希望能寻找一种方法可以把CC降低到O(log(n)级。本篇我们就主要介绍这个优化过程。主要分为两部分:
  1. 以简单的场景去阐述这个优化过程

  2. 把第一篇的Range proof结果嵌入到优化过程

注:第一篇文章由于格式的原因,公式显示会有误差,向量的特殊标记也没有显示出来,因此本篇将以图片的形式展示整个过程;另外,本文最后也附上了第一篇文章的图,帮助大家理解^_^


Improved Range proof

01

A simple example

1. 预备知识

    aL:表示向量 
    2n:表示向量 
    <a,b>:表示向量内积 ,结果是一个值
    a b :向量对应位相乘,,结果是一个向量 
2. 一个简单的场景
    Alice 想要证明向量 {a,b} 满足:
    Relation:
    一个简单的证明过程就是:
    prover 把 {a,b},c, P 发送给 verifier;
    verifier 验证 R:  成立。
    可以看出,交互复杂度是O(n),接下来目标是将复杂度优化到O(log(n))
3. 复杂度优化到O(log(n))
    => 首先把 c 整合到 P 上,即 R 修改为如下形式:
    Relation:
 ,
    此时,交互复杂度为没有变,只是两步验证化成单步验证,为后续的优化做铺垫。
    =>定义一个函数映射H,
        其中,
        注意函数 H 具有加法同态属性,即:
        因此,P 可以写成
 
Proof:
μ

接下来,让我们看一组交互变换的过程:

  1. prover 以以下的方式分别计算L,R:

    recall 

  2. prover 发送L,R,P给 verifier

  3. verifier 发送一个随机数 x 给 prover

  4. prover 计算

    ,

    并且发送 a',b' 给 verifier

  5. verifier 利用接收到的 

    计算 

    校验 

Proof

    

    

  

   

   


复杂度优化到 O(log(n))
=> 经过上一步骤:Prover 和 verifier 的交互复杂度已经由 2n+4 (P,μ,a,b)降低到了 n+4(P,μ,L,R,a',b'),离我们的目标 O(log(n)) 还差了那么点意思,该如何做呢?
让我们先回顾上述过程:
优化前:prover 证明有向量 ab 满足
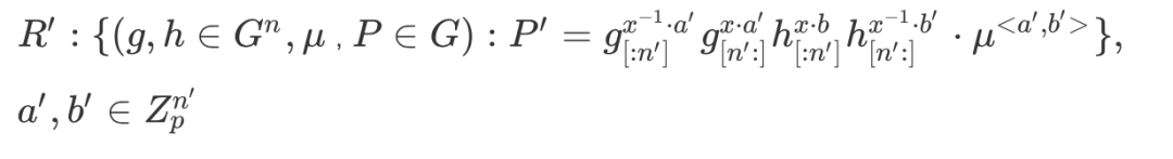
优化后:证明问题变成 prover 有向量 a'b' 满足关系(注:此时向量的长度已经减半 n'=n/2)
Image
令:
则 R' 转化成:
用 R' 迭代使用上述优化过程,最终 prover 发送给 verifier 的信息如下:
总共 2log(n)+2+2=2log(n)+4 个元素。Oh,yeah!!!
下图是一张基于上述过程的交互协议
有几点需要说明:
  1. 图的右半部分分为两个部分
    1. 黄色部分为文章前面部分讲述的过程。这又分为三个部分:
      1. 初始化:省略了P的计算和交互的过程,我们假定开始此证明协议前,验证者已经有了一些基本的信息。这并不严谨,仅仅是为了清晰的表示后面的交互过程
      2. LOOP:一个不断迭代的过程,每次迭代,会:
        1. 产生一对(Li, Ri),
        2. 所有向量长度减半
        3. Verifier计算Pi' /gi' /hi
      3. End:最后一步,向量 a, b 已减半成常量 a, 
    2. 绿色部分为黄色部分的进一步优化,优化思想主要是多次幂乘操作缩减成单词幂乘操作,具体的是:
      1. 上述LOOP中的第3步,延迟到最后一部一次性计算

Image           


02

A real Range proof

回顾第一篇文章,我们知道,当我们要证明v属于[0, 2n-1]时,验证者最终要验证:

μ
对关系式做个变换:
因此,prover是要证明有向量 l, r 满足关系:
Relation : 
基于此关系,使用上述协议,就可以使 range proof 的交互复杂度降低到对数级。现在,是不是找到点内味了?^_^

总结


本篇文章主要讲到了,BulletProof 是如何把 Range proof 的CC降低到O(log(n)),并且介绍了更近一步的优化。结合第一篇文章,相信你已经对基于 Bulletproofs 的 Range proof 原理有了整体的了解,在本系列的第三篇文章中,将给大家分享 Range proof 的工程上实现细节。


附录

  1. Bulletproofs 论文:https://eprint.iacr.org/2017/1066.pdf

  2. 附一张图,方便大家理解第一篇文章


Image



封面图片来源:David Klein on Unsplash

往期回顾

探索零知识证明系列(一):初识「零知识」与「证明」

探索零知识证明系列(二):从「模拟」理解零知识证明

探索零知识证明系列(三):读心术:从零知识证明中提取「知识」

探索零知识证明系列(四):亚瑟王的「随机」挑战:从交互到非交互式零知识证明

零知识证明学习资源汇总

如果量子计算时代到来,我们的比特币安全吗?

链上富人寻「隐私」记(一:Mixer 篇)

浅谈零知识证明:背景与起源

从零开始学习 zk-SNARK(一)——多项式的性质与证明

zkPoD:区块链,零知识证明与形式化验证,实现无中介、零信任的公平交易

PoD-Tiny——实现零信任交易的最简协议

Image

长按二维码添加微信进群讨论零知识证明

info@secbit.io

安比(SECBIT)实验室



收录于合集 #理解Bulletproofs
 4
上一篇理解零知识证明算法Bulletproofs(一):Range Proof下一篇理解零知识证明算法Bulletproofs(三):Range Proof 实现分析

Scan to Follow